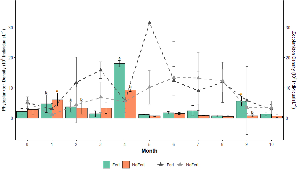
Fig. 8
Download original image
Phytoplankton (bars) and zooplankton (triangles) densities in fertilized (Fert) and unfertilized (NoFert) ponds during the grow-out of tambaqui Colossoma macropomum. Different lowercase letters indicate significant differences between treatments within each month for phytoplankton (treatment × time interaction, P < 0.05). For zooplankton, both treatment and time effects were significant (P ∼ 0.05), but since no interaction was detected, letters for monthly comparisons are not shown.
Current usage metrics show cumulative count of Article Views (full-text article views including HTML views, PDF and ePub downloads, according to the available data) and Abstracts Views on Vision4Press platform.
Data correspond to usage on the plateform after 2015. The current usage metrics is available 48-96 hours after online publication and is updated daily on week days.
Initial download of the metrics may take a while.
